ОАЭ, или Объединенные Арабские Эмираты, привлекают внимание многих международных инвесторов своей динамичной экономикой, стабильностью и выгодными бизнес-условиями. Страна, состоящая из семи эмиратов, предоставляет широкий спектр возможностей для бизнеса и инвестиций, и в этом контексте приобретение готового бизнеса становится важным стратегическим шагом.
В данной статье мы рассмотрим, почему Арабские Эмираты считаются привлекательным местом для инвестиций, и выявим значимость покупки уже существующей компании в этой стране. Мы предоставим читателям подробный обзор процесса приобретения готового бизнеса в ОАЭ, а также рассмотрим финансовые, налоговые и правовые аспекты этого процесса.
Описание экономической ситуации в ОАЭ
Объединенные Арабские Эмираты (ОАЭ) демонстрируют устойчивый экономический рост, подкрепленный значительным ВВП, что делает страну привлекательной для международных инвесторов. В последние годы ОАЭ активно работают над диверсификацией своей экономики, уменьшая зависимость от нефтяного сектора и развивая альтернативные отрасли, такие как туризм, финансы, торговля и технологии. Несмотря на то, что нефтяная отрасль по-прежнему играет ключевую роль в экономике, страна стремится адаптироваться к меняющимся мировым тенденциям и политике ОПЕК.
Торговля остается одним из ведущих экономических стимулов ОАЭ, с развитыми связями с множеством стран. Инвестиционный климат в ОАЭ благоприятствует привлечению иностранных инвестиций, поддерживаемый либеральными законами и политиками. Финансовый сектор ОАЭ также демонстрирует заметный рост, с развитыми банковскими услугами и строгим регулированием финансовых рынков, включая меры против отмывания денег и финансирования терроризма.
Технологический и инновационный секторы в ОАЭ активно развиваются, особенно в области нанотехнологий и искусственного интеллекта. Государственные стратегии поддержки инноваций и стартапов создают благоприятную среду для роста и развития новых предприятий. Туризм также вносит значительный вклад в экономику ОАЭ, с инвестициями в инфраструктуру, включая отели, достопримечательности и транспортные сети, что делает страну одним из ведущих туристических направлений.
Взгляд в будущее показывает, что ОАЭ продолжат следовать тенденции экономического роста, однако страна сталкивается с рядом вызовов, включая необходимость дальнейшего развития нефтяного и несвязанных с ним секторов, а также адаптацию в контексте мировых экономических изменений. Эти факторы могут предоставлять инвесторам значительные возможности для успеха при покупке готового бизнеса в Объединенных Арабских Эмиратах. Однако они также могут представлять потенциальные риски, которые инвесторам необходимо учитывать и анализировать при принятии решения. Важно провести тщательное исследование и оценку ситуации, чтобы принимать информированные решения и максимизировать свой успех в данной инвестиции.
Выбор правовой формы готового бизнеса в ОАЭ
При покупке готового бизнеса в ОАЭ, ключевым моментом является понимание его правовой формы. Эти компании уже зарегистрированы и прошли все необходимые юридические процедуры, что значительно упрощает процесс приобретения и сокращает время на запуск операционной деятельности. Однако, важно учитывать, что эти компании, несмотря на свою регистрацию и юридическую оформленность, могли не вести активной коммерческой деятельности. Это обстоятельство требует от потенциальных покупателей дополнительного анализа репутации компании, ее финансового состояния и возможных скрытых обязательств.
Понимание правовой формы бизнеса критически важно, так как оно определяет структуру управления, налоговые обязательства и юридическую ответственность. В ОАЭ существует несколько видов юридических форм для бизнеса, включая частные компании, акционерные общества и партнерства. Каждая из этих форм имеет свои особенности в плане прав и обязанностей владельцев и управляющих, что должно быть тщательно изучено до совершения сделки.
Кроме того, важно изучить историю компании, включая причины, по которым она выставлена на продажу.
- Личные обстоятельства владельцевУход владельцев на пенсию или их переезд в другую страну часто становятся причинами для продажи бизнеса, предоставляя новым инвесторам возможности для входа в уже установленную компанию.
- Финансовые соображенияВ некоторых случаях, готовые компании могут продаваться в связи с необходимостью сброса убытков или решения финансовых проблем, что может представлять интерес для покупателей, готовых к реорганизации и улучшению бизнеса.
- Цель создания для перепродажи Многие готовые компании в ОАЭ изначально создаются с целью их последующей перепродажи, позволяя новым владельцам избежать процесса регистрации и сразу приступить к деловой активности.
- Внутренние конфликтыКонфликты между партнерами или управленцами также могут привести к решению о продаже готового бизнеса в Эмиратах, создавая возможности для новых инвесторов вступить и привнести свежий взгляд в управление.
Осознавая эти мотивы, потенциальные покупатели должны тщательно анализировать юридическое и финансовое состояние компании перед покупкой готового бизнеса в Объединенных Арабских Эмиратах. Это включает в себя проверку правового статуса компании, ее кредитной истории и возможных обязательств, что поможет минимизировать риски и убедиться в стабильности и перспективности инвестиции.
Преимущества покупки готового бизнеса в ОАЭ
- Квалифицированный персонал. Наличие опытных сотрудников устраняет необходимость в найме и обучении нового персонала.
- Готовая инфраструктура. Приобретение бизнеса с полностью оборудованными офисами и складами обеспечивает операционную готовность с первого дня.
- Сформированные связи. Наличие устоявшихся отношений с клиентами, партнерами и поставщиками экономит время и ресурсы, необходимые для их разработки с нуля.
- Устойчивая репутация. Заработанная репутация помогает в получении банковских кредитов, расширении партнерской сети и привлечении квалифицированных специалистов.
- Проверенная бизнес-модель. Готовый бизнес обладает разработанной и успешно реализованной бизнес-моделью, что снижает риски и ускоряет достижение рентабельности.
- Немедленная прибыльность. Возможность немедленного получения прибыли благодаря уже установленным и отлаженным бизнес-процессам.
- Минимизация рисков. Покупка существующего бизнеса в ОАЭ снижает риски, связанные с начальным этапом становления компании и позволяет лучше прогнозировать будущее развитие.
Требования к документации и регистрации сделки при покупке готового бизнеса в ОАЭ
Приобретение готового бизнеса в ОАЭ требует строгого соблюдения правил документации и регистрации сделки, что обеспечивает юридическую чистоту и законность перехода прав собственности.
Вот основные этапы и требования к этому процессу:
Предварительный аудит и Due Diligence являются критически важными шагами при покупке готового бизнеса в Эмиратах. Эти процедуры обеспечивают глубокое понимание всех аспектов бизнеса, а также способствуют выявлению потенциальных рисков и помогают принять обоснованное решение о покупке.
Финансовый аудит:
- Экспертиза финансовой отчетности. Анализ бухгалтерских балансов за предыдущие несколько лет, включая балансы, отчеты о прибылях и убытках, и отчеты о движении денежных средств.
- Оценка долговых обязательств. Проверка наличия займов, кредитов и других долговых обязательств.
- Аудит налоговой отчетности. Удостоверение в правильности и полноте уплаты налоговых платежей и других обязательных платежей.
Юридическая проверка:
- Проверка учредительных документов. Изучение устава компании, протоколов собраний, договоров о совместной деятельности.
- Проверка соблюдения законодательства. Убеждение в том, что деятельность действующей компании в ОАЭ соответствует местным законам, в том числе трудовым и корпоративным.
Проверка операционной деятельности:
- Оценка состояния активов. Проверка физического состояния и оценка стоимости основных средств, таких как оборудование, инвентарь, запасы.
- Анализ рыночного положения. Исследование рыночной доли, конкурентного окружения, клиентской базы и маркетинговой стратегии.
- Проверка управленческого персонала. Оценка квалификации и опыта ключевых менеджеров и их вклада в бизнес.
Репутационный аудит:
- Проверка деловой репутации. Исследование репутации действующей фирмы в ОАЭ среди клиентов, партнеров и в бизнес-сообществе.
- Анализ обязательств по корпоративной социальной ответственности и экологических стандартов.
Технологическая проверка:
- Оценка IT-инфраструктуры. Проверка состояния информационных систем, безопасности данных и степени использования современных технологий.
- Анализ интеллектуальной собственности. Оценка наличия и состояния патентов, товарных знаков, авторских прав.
Проведение тщательной проверки Due Diligence позволяет минимизировать риски, связанные с приобретением готового бизнеса в Объединенных Арабских Эмиратах, и обеспечить достоверность получаемой информации для принятия взвешенного решения.
Подготовка договора купли-продажи является ключевым этапом в процессе покупки готового бизнеса в ОАЭ. Этот документ закрепляет все условия сделки и является юридическим обязательством между продавцом и покупателем.
|
Условия подготовки договора купли-продажи |
Описание |
|
Идентификация сторон |
Четкое указание наименований и адресов продавца и покупателя. Подтверждение полномочий представителей. |
|
Описание объекта сделки |
Подробное описание действующего бизнеса в Эмиратах, его юридической формы, активов, интеллектуальной собственности, клиентской базы и т.д. |
|
Условия сделки |
Определение цены, порядок и сроки оплаты, условия передачи активов и обязательств. |
|
Гарантии и заявления сторон |
Заявления продавца о юридической чистоте и гарантии покупателя о соблюдении условий. |
|
Условия расторжения и изменения договора |
Правила для изменения или расторжения договора, включая досрочное прекращение. |
|
Ответственность сторон |
Описание условий ответственности и последствий нарушений договора. |
|
Прочие условия |
Условия конфиденциальности, положения о разглашении информации и регулирование споров. |
Эта таблица структурирует ключевые моменты, которые необходимо учитывать при подготовке договора купли-продажи готового бизнеса в ОАЭ, обеспечивая четкое понимание каждого аспекта сделки.
Регистрация сделки покупки готового бизнеса в Арабских Эмиратах в соответствующих органах является обязательным этапом, который закрепляет юридическую силу покупки и обеспечивает права и обязанности как продавца, так и покупателя.
Этот процесс включает несколько ключевых шагов:
- Подготовка необходимых документовСбор всех необходимых документов, подтверждающих сделку, включая подписанный договор купли-продажи, корпоративные документы компании (устав, протоколы собраний), финансовые отчеты и доказательства уплаты налогов.
- Оформление сделки в торговом реестреРегистрация сделки в торговом реестре или другом соответствующем органе ОАЭ. Это подтверждает законность сделки и является официальным уведомлением о смене собственника бизнеса.
- Обновление регистрационных данных компанииВнесение изменений в регистрационные данные компании, отражающих смену владельца, что может включать обновление данных о директорах и акционерах компании.
Выбор подходящего действующего бизнеса в Эмиратах
Выбор подходящего действующего бизнеса для покупки в Объединенных Арабских Эмиратах (ОАЭ) требует тщательного анализа и планирования. Рынок ОАЭ предлагает множество возможностей в различных секторах экономики, благодаря своей динамичной экономической среде, стратегическому местоположению и либеральной торговой политике. Однако успех в этом регионе зависит от правильного выбора ниши, оценки конкурентоспособности и возможности развития, а также определения значимости местоположения и инфраструктуры.
Оценка рынка и определение ниши в рамках приобретения готового бизнеса в ОАЭ
Анализ рынка и выбор подходящей ниши действующего бизнеса в ОАЭ требует глубокого понимания рыночных условий, потребностей аудитории и конкурентной среды.
Исследование конкурентоспособности и потенциала роста при покупке готового бизнеса в ОАЭ
При покупке готового бизнеса в ОАЭ или в любой другой стране, понимание конкурентоспособности компании и оценка ее потенциала для роста имеют важное значение. Эти факторы помогают инвесторам принимать информированные решения и определить, насколько инвестиция будет успешной и долгосрочно прибыльной. Понимание рыночной среды, конкурентной позиции и возможностей для роста позволяет лучше подготовиться к будущим изменениям и эффективно управлять бизнесом после приобретения.
Следует выявить, насколько успешно предприятие в Объединенных Арабских Эмиратах выстраивает свою позицию на рынке по сравнению с конкурентами. Это предполагает анализ рыночной доли, репутации бренда и удовлетворенности клиентов.
Оценка конкурентной силы и уязвимостей конкурентов может выявить конкурентные преимущества или недостатки бизнеса. Это может включать анализ ценовой стратегии, качества продукции или услуг, инновационных технологий и маркетинговых стратегий.
Немаловажен момент квалификации и опыты управленческой команды. Важно оценить, насколько хорошо команда справляется с текущими вызовами и как она планирует развивать бизнес.
Изучение финансовых документов помогает определить текущую финансовую ситуацию компании и ее потенциал для будущего развития. Для этого необходимо провести анализ доходов, рентабельности, денежных потоков (поступления и выплаты средств) и структуры расходов.
Исследование текущих и предполагаемых тенденций на рынке способствует выявлению новых перспектив при инвестировании в действующий бизнес в ОАЭ. Это может включать расширение в новые географические рынки, разработку ассортимента продукции или услуг или адаптацию к изменениям в потребительском спросе.
Оценка технологических возможностей и готовность к внедрению инноваций дает представление о способах для расширения и улучшения операционной эффективности.
Общая оценка конкурентоспособности и перспективы развития бизнеса охватывает не только анализ текущих показателей и рыночной позиций, но и Прогнозирование будущих изменений и возможных трендов. Это позволяет потенциальному покупателю сформировать ясное представление о том, как бизнес в ОАЭ способен развиваться в долгосрочной перспективе и какие стратегии могут быть использованы с целью масштабирования и увеличения прибыльности.

Важность местоположения и инфраструктуры при покупке готового бизнеса в ОАЭ
Местоположение и инфраструктура играют ключевую роль в успехе любого бизнеса, особенно в таком динамично развивающемся регионе, как Объединенные Арабские Эмираты. При выборе подходящего готового бизнеса для покупки в ОАЭ, важно учитывать эти факторы, поскольку они могут значительно повлиять на операционную эффективность, доступность рынков и общую прибыльность.
Оптимальное местоположение обеспечивает легкий доступ для целевой аудитории и удобство взаимодействия с поставщиками. Важно учитывать такие факторы, как транспортная доступность, близость к основным транспортным артериям и плотность населения в районе.
Местоположение может значительно повлиять на восприятие бренда и его статус. Расположение в престижном районе или бизнес-центре может усилить репутацию компании.
Арендная плата и стоимость содержания бизнеса могут существенно варьироваться в зависимости от местоположения. Эти факторы должны быть учтены при оценке финансовой устойчивости бизнеса.
Технологическая и логистическая инфраструктура также очень важны. Наличие современной инфраструктуры, включая логистические узлы, транспортные сети, может значительно улучшить операционную эффективность бизнеса в Эмиратах.
Месторасположение и инфраструктура оказывают влияние не только на текущие бизнес-процессы в Арабских Эмиратах, но и на перспективы роста и расширения компании в будущем. Эти факторы могут влиять на возможности для увеличения масштаба бизнеса, стоимость и организацию поставок, а также на привлекательность для привлечения новых клиентов и партнеров.
Оценка стоимости бизнеса и методы ее расчета при покупке готового бизнеса в ОАЭ
Оценка стоимости работающего бизнеса в Объединенных Арабских Эмиратах способствует определению реальной стоимости компании и представляет собой основу для переговоров и принятия важных корпоративных решений.
Существует несколько основных методов оценки стоимости бизнеса, каждый из которых имеет свои особенности и условия применения.
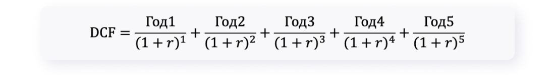
1. Метод дисконтирования денежных потоков (DCF)
Этот метод основан на прогнозировании будущих денежных потоков компании и их дисконтировании к настоящему времени. Он учитывает временную стоимость денег и риски, связанные с бизнесом.
Для расчета по этому методу необходимо определить прогнозируемые денежные потоки на несколько лет вперед, а также выбрать соответствующую ставку дисконтирования.
2. Метод оценки по мультипликаторам
Этот метод включает использование мультипликаторов, основанных на финансовых показателях аналогичных компаний или отраслевых средних значений. Например, мультипликаторы могут быть применены к показателю EBITDA (прибыль до вычета процентов, налогов, износа и амортизации) или выручке.
Метод хорошо подходит для оценки инвестиций в существующий бизнес в Объединенных Арабских Эмиратах в секторах с большим количеством аналогичных сделок, где есть достаточно данных для сравнения.
3. Метод чистых активов (балансовая стоимость)
Этот метод основывается на оценке чистых активов компании, то есть разнице между активами и обязательствами, отраженными в балансе.
Метод часто используется для компаний, где основная стоимость связана с физическими активами, такими как недвижимость или оборудование.
4. Метод сопоставимых сделок
Этот метод предполагает анализ цен, уплаченных за аналогичные компании при недавних сделках. Это помогает понять, как рынок оценивает подобные бизнесы.
Важно учитывать, что цены в сопоставимых сделках могут зависеть от уникальных обстоятельств каждой сделки.
5. Комбинированные методы
Часто для более точной оценки используют комбинацию различных методов. Это позволяет учесть разные аспекты бизнеса и снизить риск ошибочной оценки.
Давайте рассмотрим примеры расчетов стоимости бизнеса в ОАЭ, используя различные методы оценки. Для наглядности предположим, что у нас есть условный бизнес с определенными финансовыми показателями.
Предположим, бизнес в ОАЭ прогнозирует следующие денежные потоки на ближайшие 5 лет:
- Год 1: $100,000
- Год 2: $120,000
- Год 3: $140,000
- Год 4: $160,000
- Год 5: $180,000
Допустим, ставка дисконтирования составляет 10%.
Расчет DCF:

где:
- r – ставка дисконтирования.
Подставляя значения, получаем:

Выполним расчеты.
Расчет по методу DCF показывает, что приведенная стоимость будущих денежных потоков данного бизнеса в Объединенных Арабских Эмиратах составляет приблизительно $516,315.
Предположим, средний мультипликатор EBITDA в данной отрасли в ОАЭ составляет 6x. Если EBITDA бизнеса за последний год составляет $200,000, то оценка бизнеса по этому методу будет следующей:
- Оценка по мультипликатору=EBITDA×Мультипликатор
- Оценка=200,000×6
Предположим, активы готового предприятия в ОАЭ оцениваются в $500,000, а общая сумма обязательств составляет $300,000. Тогда чистые активы (балансовая стоимость) рассчитываются следующим образом:
- Чистые активы=Активы−Обязательства
- Чистые активы=500,000−300,000
Эти примеры демонстрируют различные подходы к оценке стоимости бизнеса в Арабских Эмиратах. В реальной жизни часто используется совокупный подход, который объединяет эти методы для достижения более точной оценки стоимости, а также учитывает множество других факторов, таких как текущая рыночная обстановка, потенциал роста и стратегическая важность бизнеса.
В ходе оценки стоит учитывать не только экономические показатели, но и такие аспекты, как репутация компании, профессионализм управленческой команды, анализ рыночных возможностей, состояние портфеля активов и долгосрочные тенденции в отрасли. Оценка стоимости бизнеса в ОАЭ может потребовать привлечения профессиональных оценщиков и финансовых аналитиков, особенно при сложных и крупных сделках.
Возможности финансирования при покупке готового бизнеса в ОАЭ
При покупке готового бизнеса в Объединенных Арабских Эмиратах, важно тщательно рассмотреть различные варианты финансирования. Ключевыми источниками являются банковские кредиты, инвестиции от инвесторов и венчурных капиталистов, а также использование собственных средств. Каждый из этих источников имеет свои преимущества и особенности, которые необходимо учитывать.
Банковские кредиты предлагают формализованный подход к финансированию с четко определенными условиями возврата и процентными ставками. Это один из самых традиционных способов финансирования бизнеса.
- Преимущества: Банковские кредиты могут предложить большие суммы финансирования с относительно низкими процентными ставками. Также это позволяет сохранить полный контроль над бизнесом.
- Требования: Процедура получения кредита в банках обычно включает в себя представление детального бизнес-плана, финансовой документации и обеспечения или залога. Важное значение имеет оценка кредитоспособности и истории заемщика.
Капитал от инвесторов и венчурных фондов предоставляется в обмен на участие в бизнесе. Основным критерием выбора для них является потенциал существующей компании в ОАЭ к будущему развитию.
- Преимущества: В дополнение к финансовой поддержке, инвесторы также могут поделиться своими ценными знаниями, навыками, опытом и деловыми связями, которые могут способствовать росту и развитию бизнеса.
- Требования: Венчурные инвесторы ищут бизнесы с четким ростовым потенциалом и часто требуют долю управления или значительное влияние на стратегические решения.
Использование собственных средств означает финансирование покупки готового бизнеса в Эмиратах за счет личных сбережений или активов.
- Преимущества: Этот способ позволяет полностью контролировать бизнес и избегать дополнительных финансовых обязательств перед внешними кредиторами или инвесторами.
- Риски: Использование собственных средств увеличивает личные финансовые риски и требует тщательного планирования и оценки возможностей бизнеса.
Каждый из этих методов финансирования имеет свои особенности и подходит для различных ситуаций. Выбор метода финансирования зависит от специфики бизнеса, доступных ресурсов, личных предпочтений покупателя и его долгосрочных стратегических целей.
Поиск предложений о покупке готового бизнеса в ОАЭ
Процесс поиска подходящих предложений о продаже готового бизнеса в ОАЭ включает в себя несколько вариантов, среди которых: использование профессиональных ресурсов и платформ, сетевые связи и отраслевые мероприятия.
- Обратитесь к специализированным онлайн-платформам, которые предлагают объявления о продаже бизнеса в ОАЭ. Эти платформы обеспечивают широкий доступ к различным предложениям и могут включать детальную информацию о бизнесе.
- Используйте услуги профессиональных брокеров или консультационных агентств, специализирующихся на сделках с бизнесом. Они могут предложить эксклюзивные варианты, которые не доступны на общедоступных платформах, и предоставить профессиональную оценку и советы.
- Установите контакты в деловых кругах ОАЭ. Сетевое взаимодействие с бизнесменами, инвесторами и консультантами на местных деловых мероприятиях и конференциях может открыть доступ к информации о потенциально доступных для покупки бизнесах.
- Рассмотрите возможность участия в отраслевых мероприятиях и выставках в ОАЭ, где можно не только узнать о доступных предложениях, но и лучше понять динамику рынка.
После получения списка потенциальных предложений проведите предварительный анализ каждого из них. Уделяйте внимание деталям, представленным в предложениях, и будьте осторожны с предложениями, которые кажутся слишком выгодными, чтобы быть правдой.
Риски и как их минимизировать при покупке готового бизнеса в ОАЭ
Приобретение готового бизнеса в ОАЭ сопряжено с рядом рисков, которые могут оказать значительное влияние на успех сделки и последующую деятельность бизнеса. Важно тщательно идентифицировать эти риски и разработать стратегии для их минимизации.
- Недостаточный Due Diligence (тщательная проверка) Одна из основных ошибок – это недостаточно глубокий аудит и оценка бизнеса перед покупкой. Это может привести к непредвиденным проблемам, таким как скрытые долги, юридические проблемы или завышенная оценка бизнеса.
- Переоценка рыночной стоимости бизнесаПокупатели часто рискуют переплатить за уже действующий бизнес в Объединенных Арабских Эмиратах из-за неверной оценки его рыночной стоимости. Это может быть следствием неполного анализа финансовых данных или рыночной обстановки.
- Завышенные ожидания по доходности и ростуПокупатели могут иметь нереалистичные ожидания относительно получения дохода и скорости роста бизнеса, что ведет к ошибочным стратегическим решениям.
- Недооценка затрат на интеграцию и управлениеНеучет дополнительных затрат, связанных с интеграцией приобретенного бизнеса в существующие операции, может вызвать финансовые затруднения.
- Игнорирование рыночной среды Недооценка текущей ситуации на рынке и возможных перспектив может привести к покупке бизнеса в отрасли, где спрос уменьшается, или с ограниченными возможностями для будущего роста.
- Недооценка культурных и деловых особенностейАспекты деловой этики и поведения, а также местного законодательства ОАЭ могут существенно отличаться от других стран, и игнорирование этих аспектов может вызвать серьезные сложности.
Стратегии минимизации рисков при покупке действующего бизнеса в Эмиратах
Минимизация рисков при покупке готового бизнеса в ОАЭ требует комплексного подхода, включающего тщательный анализ, стратегическое планирование и привлечение профессиональной помощи.
Одним из ключевых аспектов является проведение тщательного Due Diligence, что означает всестороннюю проверку всех аспектов бизнеса. Это включает анализ финансовых отчетов, проверку юридических документов, оценку активов и обязательств, а также изучение репутации бизнеса. Целью Due Diligence является получение полной и четкой картины состояния бизнеса, что помогает выявить скрытые проблемы и оценить реальную стоимость бизнеса.
Особое внимание стоит уделить пониманию рыночной среды и векторов развития конкретных отраслей. Изучение текущего положения на рынке, аналитика потребностей аудитории и конкурентной среды позволяет лучше понять возможности для роста и потенциальные риски. Это помогает определить, насколько бизнес подготовлен к предстоящим изменениям в индустрии и какие стратегические решения могут быть разработаны для адаптации к этим изменениям.
Кроме того, важно учитывать местное законодательство и культурные особенности. Знание и соблюдение местных законов и регулирований предотвращает юридические проблемы и укрепляет деловые отношения. Понимание культурных особенностей помогает в построении отношений с местными партнерами, клиентами и сотрудниками.
Реализация эффективного управления изменениями также играет важную роль в минимизации рисков. Это включает планирование и поэтапное внедрение изменений после покупки функционирующего бизнеса в ОАЭ, а также поддержку и обучение персонала для обеспечения гладкого перехода.
Наконец, привлечение профессиональных консультантов – юристов, финансовых аналитиков, бизнес-консультантов – обеспечивает доступ к экспертным знаниям и опыту, что критически важно для успешной покупки и управления бизнесом. Эти специалисты могут предоставить ценные советы и помощь в каждом аспекте сделки, от оценки стоимости бизнеса до планирования будущего развития.
Соблюдение этих стратегий помогает минимизировать риски, связанные с покупкой готового бизнеса в Объединенных Арабских Эмиратах, и способствует созданию устойчивого и прибыльного предприятия в этой стране.