У цій статті ми розглянемо, чому Арабські Емірати вважаються привабливим місцем для інвестицій, і виявимо значущість купівлі вже існуючої компанії в цій країні. Ми пропонуємо читачам детальний огляд процесу придбання готового бізнесу в ОАЕ, а також розглянемо фінансові, податкові та правові аспекти цього процесу.
Опис економічної ситуації в ОАЕ
Об'єднані Арабські Емірати (ОАЕ) демонструють стійке економічне зростання, підкріплене значним ВВП, що робить країну привабливою для міжнародних інвесторів. Останніми роками ОАЕ активно працюють над диверсифікацією своєї економіки, зменшуючи залежність від нафтового сектора та розвиваючи альтернативні галузі – такі, як туризм, фінанси, торгівля та технології. Незважаючи на те, що нафтова галузь, як і раніше, відіграє ключову роль в економіці, країна прагне адаптуватися до мінливих світових тенденцій і політики ОПЕК.
Торгівля залишається одним із провідних економічних стимулів ОАЕ, з розвиненими зв'язками з багатьма країнами. Інвестиційний клімат в ОАЕ сприяє залученню іноземних інвестицій, що підтримується ліберальними законами та політиками. Фінансовий сектор ОАЕ також демонструє помітне зростання з розвиненими банківськими послугами та суворим регулюванням фінансових ринків, включаючи заходи проти відмивання грошей і фінансування тероризму.
Технологічний та інноваційний сектори в ОАЕ активно розвиваються, особливо в галузі нанотехнологій і штучного інтелекту. Державні стратегії підтримки інновацій і стартапів створюють сприятливе середовище для зростання та розвитку нових підприємств. Туризм також робить вагомий внесок в економіку ОАЕ, з інвестиціями в інфраструктуру, включаючи готелі, пам'ятки та транспортні мережі, що робить країну одним із провідних туристичних напрямків.
Вибір правової форми готового бізнесу в ОАЕ
Купуючи готовий бізнес в ОАЕ, ключовим моментом є розуміння його правової форми. Ці компанії вже зареєстровані та пройшли всі необхідні юридичні процедури, що значно спрощує процес придбання та скорочує час на запуск операційної діяльності. Однак важливо враховувати, що ці компанії, незважаючи на свою реєстрацію та юридичну оформленість, могли не вести активної комерційної діяльності. Ця обставина вимагає від потенційних покупців додаткового аналізу репутації компанії, її фінансового становища та можливих прихованих зобов'язань.
Розуміння правової форми бізнесу є критично важливим, оскільки воно визначає структуру управління, податкові зобов'язання та юридичну відповідальність. В ОАЕ є кілька видів юридичних форм для бізнесу, включаючи приватні компанії, акціонерні товариства та партнерства. Кожна з цих форм має свої особливості щодо прав та обов'язків власників і керівників, що має бути ретельно вивчено до здійснення угоди.
Крім того, важливо вивчити історію компанії, включно з причинами, через які вона виставлена на продаж.
Основні мотиви продажу готових компаній в ОАЕ:
|
Особисті обставини власників |
Фінансові міркування |
Мета створення для перепродажу |
|
Вихід власників на пенсію або їхній переїзд в іншу країну часто стають причинами для продажу бізнесу, надаючи новим інвесторам можливості для входу до вже встановленої компанії. |
У деяких випадках готові компанії можуть продаватися у зв'язку з необхідністю скидання збитків або вирішення фінансових проблем, що може представляти інтерес для покупців, готових до реорганізації та покращення бізнесу. |
Багато готових компаній в ОАЕ спочатку створюються з метою їхнього подальшого перепродажу, дозволяючи новим власникам уникнути процесу реєстрації і відразу приступити до ділової активності. |
|
Внутрішні конфлікти |
|
Конфлікти між партнерами чи управлінцями також можуть призвести до рішення про продаж готового бізнесу в Еміратах, створюючи можливості для нових інвесторів вступити та привнести свіжий погляд в управління. |
Усвідомлюючи ці мотиви, потенційні покупці повинні ретельно аналізувати юридичний і фінансовий стан компанії перед придбанням готового бізнесу в Об'єднаних Арабських Еміратах. Це включає перевірку правового статусу компанії, її кредитної історії та можливих зобов'язань, що допоможе мінімізувати ризики і переконатися в стабільності і перспективності інвестиції.
Переваги купівлі готового бізнесу в ОАЕ
- Кваліфікований персонал. Наявність досвідчених співробітників усуває необхідність найму та навчання нового персоналу.
- Готова інфраструктура. Придбання бізнесу з повністю обладнаними офісами та складами забезпечує операційну готовність з першого дня.
- Сформовані зв'язки. Наявність усталених відносин із клієнтами, партнерами і постачальниками економить час і ресурси, необхідні для їх розробки з нуля.
- Усталена репутація. Зароблена репутація допомагає в отриманні банківських кредитів, розширенні партнерської мережі та залученні кваліфікованих фахівців.
- Перевірена бізнес-модель. Готовий бізнес вже має розроблену та успішно реалізовану бізнес-модель, що знижує ризики та прискорює досягнення рентабельності.
- Негайна прибутковість. Можливість негайного отримання прибутку завдяки вже встановленим і налагодженим бізнес-процесам.
- Мінімізація ризиків. Купівля існуючого бізнесу в ОАЕ знижує ризики, пов'язані з початковим етапом становлення компанії та дозволяє краще прогнозувати майбутній розвиток.
Вимоги до документації та реєстрації угоди при купівлі готового бізнесу в ОАЕ
Придбання готового бізнесу в ОАЕ потребує жорсткого дотримання правил документації та реєстрації угоди, що забезпечує юридичну чистоту та законність переходу прав власності.
Попередній аудит і Due Diligence (Ретельна перевірка)
Попередній аудит та Due Diligence є критично важливими кроками при купівлі готового бізнесу в Еміратах. Ці процедури забезпечують глибоке розуміння всіх аспектів бізнесу, а також сприяють виявленню потенційних ризиків і допомагають прийняти обґрунтоване рішення про покупку.
Фінансовий аудит:
- Експертиза фінансової звітності. Аналіз бухгалтерських балансів за попередні кілька років, включаючи баланси, звіти про прибутки та збитки, та звіти про рух коштів.
- Оцінка боргових зобов'язань. Перевірка наявності позик, кредитів та інших боргових зобов'язань.
- Аудит податкової звітності. Потрібно пересвідчитися в правильності та повноті сплати податкових платежів та інших обов'язкових платежів.
Юридична перевірка:
- Перевірка установчих документів. Вивчення статуту підприємства, протоколів зборів, договорів про спільну діяльність.
- Перевірка дотримання законодавства. Потрібно переконатися в тому, що діяльність чинної компанії в ОАЕ відповідає місцевим законам, зокрема трудовим і корпоративним.
Перевірка операційної діяльності:
- Оцінка стану активів. Перевірка фізичного стану та оцінка вартості основних засобів – таких, як обладнання, інвентар, запаси.
- Аналіз ринкового становища. Дослідження ринкової частки, конкурентного оточення, клієнтської бази та маркетингової стратегії.
- Перевірка управлінського персоналу. Оцінка кваліфікації та досвіду ключових менеджерів та їхнього вкладу в бізнес.
Репутаційний аудит:
- Перевірка ділової репутації. Дослідження репутації чинної фірми в ОАЕ серед клієнтів, партнерів та у бізнес-спільноті.
- Аналіз зобов'язань щодо корпоративної соціальної відповідальності та екологічних стандартів.
Технологічна перевірка:
- Оцінка ІТ-інфраструктури. Перевірка стану інформаційних систем, безпеки даних і ступеня використання сучасних технологій.
- Аналіз інтелектуальної власності. Оцінка наявності та стану патентів, товарних знаків, авторських прав.
Проведення ретельної перевірки Due Diligence дозволяє мінімізувати ризики, пов'язані з придбанням готового бізнесу в Об'єднаних Арабських Еміратах, та забезпечити достовірність отриманої інформації для ухвалення виваженого рішення.
Підготовка договору купівлі-продажу
Підготовка договору купівлі-продажу є ключовим етапом у процесі придбання готового бізнесу в ОАЕ. Цей документ закріплює всі умови угоди та є юридичним зобов'язанням між продавцем і покупцем.
|
Умови підготовки договору купівлі-продажу |
Опис |
|
Ідентифікація сторін |
Чітка вказівка найменувань та адрес продавця та покупця. Доказ повноважень представників. |
|
Опис об'єкта угоди |
Детальний опис чинного бізнесу в Еміратах, його юридичної форми, активів, інтелектуальної власності, клієнтської бази тощо. |
|
Умови згоди |
Визначення ціни, порядку та термінів оплати, умов передачі активів і зобов'язань. |
|
Гарантії та заяви сторін |
Заяви продавця про юридичну чистоту та гарантії покупця про дотримання умов. |
|
Умови розірвання та зміни договору |
Правила зміни чи розірвання договору, включаючи дострокове припинення. |
|
Відповідальність сторін |
Опис умов відповідальності та наслідків порушень договору. |
|
Інші умови |
Умови конфіденційності, положення про розголошення інформації та регулювання спорів. |
Ця таблиця структурує ключові моменти, які необхідно враховувати під час підготовки договору з купівлі-продажу готового бізнесу в ОАЕ, забезпечуючи чітке розуміння кожного аспекту угоди.
Реєстрація угоди у відповідних органах
Реєстрація угоди купівлі готового бізнесу в Арабських Еміратах у відповідних органах є обов'язковим етапом, який закріплює юридичну силу купівлі та забезпечує права та обов'язки як продавця, так і покупця.
Цей процес включає кілька ключових кроків:
|
Підготовка документів |
Оформлення угоди в Торговельному реєстрі |
Оновлення реєстраційних даних компанії |
|
Збирання всіх необхідних документів, які підтверджують угоду, включаючи підписаний договір купівлі-продажу, корпоративні документи компанії (статут, протоколи зборів), фінансові звіти та докази сплати податків. |
Реєстрація угоди в Торговельному реєстрі чи іншому відповідному органі ОАЕ. Це підтверджує законність угоди та є офіційним повідомленням про зміну власника бізнесу. |
Внесення змін до реєстраційних даних компанії, які відображають зміну власника, що може включати оновлення даних про директорів та акціонерів компанії. |
Вибір відповідного діючого бізнесу в Еміратах
Вибір відповідного бізнесу для купівлі в Об'єднаних Арабських Еміратах (ОАЕ) вимагає ретельного аналізу та планування. Ринок ОАЕ пропонує безліч можливостей у різних секторах економіки, завдяки своєму динамічному економічному середовищу, стратегічному місцезнаходження та ліберальній торговельній політиці. Однак успіх у цьому регіоні залежить від правильного вибору ніші, оцінки конкурентоспроможності та можливості розвитку, а також визначення значущості розташування та інфраструктури.
Оцінка ринку та визначення ніші в межах придбання готового бізнесу в ОАЕ
Аналіз ринку та вибір відповідної ніші діючого бізнесу в ОАЕ вимагає глибокого розуміння ринкових умов, потреб аудиторії та конкурентного середовища.
|
Дослідження ринкових тенденцій |
Почати варто з вивчення поточних і майбутніх тенденцій в економіці ОАЕ. Необхідно провести аналіз ринків, на яких бізнес планує оперувати, та ідентифікацію ключових галузевих тенденцій. Важливо також враховувати загальне економічне становище країни, включаючи такі чинники, як ВВП, рівень споживчих витрат, інфляція та державні інвестиційні програми. |
|
Оцінка потреб цільової аудиторії |
Розуміння потреб і пріоритетів цільової аудиторії включає аналіз поведінки споживачів, їх купівельної спроможності та пріоритетів. Визначення нереалізованих чи недостатньо задоволених потреб на ринку може виявити потенційні ніші для ведення бізнесу в Об'єднаних Арабських Еміратах. |
|
Вивчення конкурентного середовища |
Аналіз конкурентів на ринку допоможе зрозуміти, які стратегії використовують, які продукти чи послуги вони пропонують і як вони позиціонують себе. Важливо виявити унікальні пропозиції (УТП) конкурентів і визначити, які прогалини на ринку можна заповнити. |
|
Вибір відповідної ніші |
На основі зібраної інформації можна визначити найкращі ніші для входу. Ніша має відповідати як потребам ринку, так і перевагам і перспективам компанії. Ідеальна ніша має пропонувати стійкий попит, мінімальну конкуренцію та можливості для зростання та розвитку. |
|
Оцінка ризиків і перспектив |
Потрібно також проаналізувати можливі загрози та перспективи в обраній ніші, включаючи регуляторні зміни, можливі коливання попиту та конкурентні виклики. Розгляд різних сценаріїв і планування стратегічних прийомів зменшення ризиків і максимізації можливостей визначають ключовий фактор успіху в обраній ніші. |
Дослідження конкурентоспроможності та потенціалу зростання при купівлі готового бізнесу в ОАЕ
При купівлі готового бізнесу в ОАЕ або в будь-якій іншій країні розуміння конкурентоспроможності компанії та оцінка її потенціалу для зростання мають важливе значення. Ці фактори допомагають інвесторам приймати проінформовані рішення та визначити, наскільки інвестиція буде успішною та довгостроково прибутковою. Розуміння ринкового середовища, конкурентної позиції та можливостей для зростання дозволяє краще підготуватися до майбутніх змін та ефективно керувати бізнесом після придбання.
Аналіз конкурентоспроможності
Потрібно виявити, наскільки успішно підприємство в Об'єднаних Арабських Еміратах вибудовує свою позицію на ринку порівняно з конкурентами. Це передбачає аналіз ринкової частки, репутації бренду та задоволеності клієнтів.
Оцінка конкурентної сили та вразливостей конкурентів може виявити конкурентні переваги чи недоліки бізнесу. Це може включати аналіз цінової стратегії, якості продукції чи послуг, інноваційних технологій і маркетингових стратегій.
Прогнозування потенціалу зростання
Вивчення фінансових документів допомагає визначити поточну фінансову ситуацію компанії та її потенціал майбутнього розвитку. Для цього необхідно провести аналіз доходів, рентабельності, грошових потоків (надходження та виплати коштів) і структури витрат.
Дослідження поточних і передбачуваних тенденцій на ринку сприяє виявленню нових перспектив при інвестуванні в діючий бізнес в ОАЕ. Це може включати розширення в нові географічні ринки, розробку асортименту продукції чи послуг або адаптацію змін у споживчому попиті.
Оцінка технологічних можливостей і готовність до впровадження інновацій дає уявлення про способи для розширення та покращення операційної ефективності.
Загальна оцінка конкурентоспроможності та перспективи розвитку бізнесу охоплює не лише аналіз поточних показників і ринкової позицій, а й прогнозування майбутніх змін та можливих трендів. Це дозволяє потенційному покупцю сформувати чітке уявлення про те, як бізнес в ОАЕ здатний розвиватися в довгостроковій перспективі та які стратегії можуть бути використані з метою масштабування та збільшення прибутковості.
Зв’яжіться з нашими спеціалістами
Важливість місця та інфраструктури при купівлі готового бізнесу в ОАЕ
Розташування та інфраструктура відіграють ключову роль в успіху будь-якого бізнесу, особливо в такому регіоні, який динамічно розвивається, як Об'єднані Арабські Емірати. При виборі відповідного готового бізнесу для купівлі в ОАЕ важливо враховувати ці фактори, оскільки вони можуть сильно вплинути на операційну ефективність, доступність ринків і загальну прибутковість.
Оптимальне розташування забезпечує легкий доступ для цільової аудиторії та зручність взаємодії з постачальниками. Важливо враховувати такі фактори, як транспортна доступність, близькість до основних транспортних артерій і густота населення в районі.
Розташування може сильно вплинути на сприйняття бренду та його статус. Розташування в престижному районі чи бізнес-центрі може посилити репутацію компанії.
Орендна плата та вартість утримання бізнесу можуть суттєво змінюватись залежно від місця розташування. Ці фактори мають бути враховані в оцінці фінансової стійкості бізнесу.
Технологічна та логістична інфраструктури також дуже важливі. Наявність сучасної інфраструктури, включаючи логістичні вузли, транспортні мережі може значно покращити операційну ефективність бізнесу в Еміратах.
Місце розташування та інфраструктура впливають не тільки на поточні бізнес-процеси в Арабських Еміратах, але і на перспективи зростання та розширення компанії в майбутньому. Ці фактори можуть впливати на можливості для збільшення масштабу бізнесу, вартості та організації поставок, а також на привабливість для залучення нових клієнтів і партнерів.
Оцінка вартості бізнесу та методи її розрахунку при купівлі готового бізнесу в ОАЕ
Оцінка вартості працюючого бізнесу в Об'єднаних Арабських Еміратах сприяє визначенню реальної вартості компанії і є основою для переговорів і прийняття важливих корпоративних рішень.
Є кілька основних методів оцінки вартості бізнесу, кожен з яких має свої особливості та умови застосування.
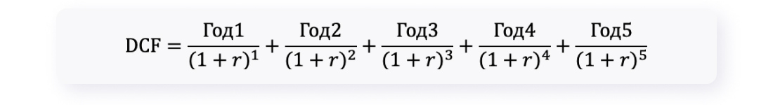
1. Метод дисконтування грошових потоків (DCF)
Цей метод ґрунтується на прогнозуванні майбутніх грошових потоків компанії та їх дисконтуванні до теперішнього часу. Він враховує тимчасову вартість грошей і ризики, пов'язані з бізнесом.
Для розрахунку цим методом необхідно визначити прогнозовані грошові потоки на декілька років уперед, і навіть вибрати відповідну ставку дисконтування.
2. Метод оцінки з мультиплікаторів
Цей метод включає використання мультиплікаторів, які ґрунтуються на фінансових показниках аналогічних компаній або галузевих середніх значень. Наприклад, мультиплікатори можуть бути застосовані до показника EBITDA (прибуток до відрахування відсотків, податків, зносу та амортизації) або виручки.
Метод добре підходить для оцінки інвестицій в існуючий бізнес в Об'єднаних Арабських Еміратах у секторах із великою кількістю аналогічних угод, де є достатньо даних для порівняння.
3. Метод чистих активів (балансова вартість)
Цей метод ґрунтується на оцінці чистих активів компанії, тобто різниці між активами та зобов'язаннями, відображеними в балансі.
Метод часто використовується для компаній, де основна вартість пов'язана з фізичними активами – такими, як нерухомість чи обладнання.
4. Метод порівняння угод
Цей метод передбачає аналіз цін, сплачених за аналогічні компанії під час недавніх угод. Це допомагає зрозуміти, як ринок оцінює такі бізнеси.
Важливо враховувати, що ціни при порівнянні угод можуть залежати від унікальних обставин кожної угоди.
5. Комбіновані методи
Часто для точної оцінки використовують комбінацію різних методів. Це дозволяє врахувати різні аспекти бізнесу та знизити ризик помилкової оцінки.
Розгляньмо приклади розрахунків вартості бізнесу в ОАЕ, використовуючи різні методи оцінки. Для наочності припустимо, що ми маємо умовний бізнес із певними фінансовими показниками.
Припустимо, бізнес в ОАЕ прогнозує такі грошові потоки на найближчі 5 років:
- Рік 1: $100,000
- Рік 2: $120,000
- Рік 3: $140,000
- Рік 4: $160,000
- Рік 5: $180,000
Допустимо, ставка дисконтування становить 10%.
Розрахунок DCF:

де:
- r – ставка дисконтування.
Підставляючи значення, отримуємо:

Виконаємо розрахунки.
Розрахунок за методом DCF показує, що вартість майбутніх грошових потоків цтого бізнесу в Об'єднаних Арабських Еміратах становить приблизно $516,315.
Припустимо, середній мультиплікатор EBITDA у цій галузі ОАЕ становить 6x. Якщо EBITDA бізнесу за останній рік становить $200,000, то оцінка бізнесу за цим методом буде такою:
- Оцінка за мультиплікатором = EBITDA×Мультиплікатор
- Оцінка = 200,000 × 6
Припустимо, активи готового підприємства в ОАЕ оцінюються в $500,000, а загальна сума зобов'язань становить $300,000. Тоді чисті активи (балансова вартість) розраховуються так:
- Чисті активи = активи-зобов'язання
- Чисті активи = 500,000-300,000
Ці приклади демонструють різні підходи щодо оцінки вартості бізнесу в Арабських Еміратах. У реальному житті часто використовується сукупний підхід, який поєднує ці методи для досягнення точнішої оцінки вартості, а також враховує безліч інших факторів – таких, як поточна ринкова ситуація, потенціал зростання та стратегічна важливість бізнесу.
У процесі оцінювання варто враховувати не лише економічні показники, а й такі аспекти, як репутація компанії, професіоналізм управлінської команди, аналіз ринкових можливостей, стан портфеля активів і довгострокові тенденції в галузі. Оцінка вартості бізнесу в ОАЕ може вимагати залучення професійних оцінювачів і фінансових аналітиків, особливо при складних та великих угодах.
Можливості фінансування при купівлі готового бізнесу в ОАЕ
Купуючи готовий бізнес в Об'єднаних Арабських Еміратах, важливо ретельно розглянути різні варіанти фінансування. Ключовими джерелами є банківські кредити, інвестиції від інвесторів і венчурних капіталістів, а також використання власних коштів. Кожен із цих джерел має свої переваги та особливості, які необхідно враховувати.
Банківські кредити
Банківські кредити пропонують формалізований підхід до фінансування з чітко визначеними умовами повернення та процентними ставками. Це один із найтрадиційніших способів фінансування бізнесу.
|
Переваги: |
Вимоги: |
|
Банківські кредити можуть запропонувати великі суми фінансування з відносно низькими відсотковими ставками. Також це дозволяє зберегти повний контроль над бізнесом. |
Процедура отримання кредиту в банках зазвичай включає уявлення детального бізнес-плану, фінансової документації та забезпечення або застави. Важливе значення має оцінка кредитоспроможності та історії позичальника. |
Інвестори та венчурні фонди
Капітал від інвесторів і венчурних фондів надається в обмін на участь у бізнесі. Основним критерієм вибору для них є потенціал компанії, що діє в ОАЕ, до майбутнього розвитку.
|
Переваги: |
Вимоги: |
|
На додаток до фінансової підтримки, інвестори також можуть поділитися своїми цінними знаннями, навичками, досвідом і діловими зв'язками, які можуть сприяти зростанню та розвитку бізнесу. |
Венчурні інвестори шукають бізнеси з чітким ростовим потенціалом і часто вимагають управління чи значний вплив на стратегічні рішення. |
Власні кошти
Використання власних коштів означає фінансування придбання готового бізнесу в Еміратах за рахунок власних заощаджень або активів.
|
Переваги: |
Ризики: |
|
Цей спосіб дозволяє повністю контролювати бізнес та уникати додаткових фінансових зобов'язань перед зовнішніми кредиторами чи інвесторами. |
Використання власних коштів збільшує особисті фінансові ризики та потребує ретельного планування та оцінки можливостей бізнесу. |
Кожен із цих методів фінансування має свої особливості та підходить для різних ситуацій. Вибір способу фінансування залежить від специфіки бізнесу, доступних ресурсів, особистих переваг покупця та його довгострокових стратегічних цілей.
Пошук пропозицій про купівлю готового бізнесу в ОАЕ
Процес пошуку відповідних пропозицій про продаж готового бізнесу в ОАЕ включає кілька варіантів, з-поміж яких: використання професійних ресурсів і платформ, мережеві зв'язки та галузеві заходи.
- Зверніться до спеціалізованих онлайн-платформ, які пропонують оголошення про продаж бізнесу в ОАЕ. Ці платформи забезпечують широкий доступ до різних пропозицій і можуть містити детальну інформацію про бізнес.
- Використовуйте послуги професійних брокерів або консультаційних агентств, які спеціалізуються на угодах із бізнесом. Вони можуть запропонувати ексклюзивні варіанти, які не доступні на загальнодоступних платформах, та надати професійну оцінку та поради.
- Встановіть контакти в ділових колах ОАЕ. Мережева взаємодія з бізнесменами, інвесторами та консультантами на місцевих ділових заходах і конференціях може відкрити доступ до інформації про потенційно доступні для купівлі бізнеси.
- Розгляньте можливість участі в галузевих заходах і виставках в ОАЕ, де можна не тільки дізнатися про доступні пропозиції, але й краще зрозуміти динаміку ринку.
Після отримання списку потенційних пропозицій, проведіть попередній аналіз кожного з них. Приділяйте увагу деталям, поданим у пропозиціях, і будьте обережні з пропозиціями, які видаються надто вигідними, щоб бути правдою.
Ризики та як їх мінімізувати при купівлі готового бізнесу в ОАЕ
Придбання готового бізнесу в ОАЕ пов'язане з низкою ризиків, які можуть вплинути на успіх угоди і подальшу діяльність бізнесу. Важливо ретельно ідентифікувати ці ризики та розробити стратегії для їхньої мінімізації.
Типові помилки:
|
Недостатній Due Diligence (ретельна перевірка) |
Переоцінка ринкової вартості бізнесу |
Завищені очікування щодо прибутковості та зростання |
|
Одна з основних помилок – це недостатньо глибокий аудит та оцінка бізнесу перед купівлею. Це може призвести до непередбачених проблем – таких, як приховані борги, юридичні проблеми чи підвищена оцінка бізнесу. |
Покупці часто ризикують переплатити за діючий бізнес в Об'єднаних Арабських Еміратах через неправильну оцінку його ринкової вартості. Це може бути наслідком неповного аналізу фінансових даних чи ринкової ситуації. |
Покупці можуть мати нереалістичні очікування щодо отримання доходу та швидкості зростання бізнесу, що веде до помилкових стратегічних рішень. |
|
Недооцінка витрат на інтеграцію та управління |
Ігнорування ринкового середовища |
Недооцінка культурних і ділових особливостей |
|
Неврахування додаткових витрат, пов'язаних з інтеграцією придбаного бізнесу в існуючі операції, може спричинити фінансові труднощі. |
Недооцінка поточної ситуації на ринку та можливих перспектив може призвести до купівлі бізнесу в галузі, де попит зменшується, або з обмеженими можливостями для майбутнього зростання. |
Аспекти ділової етики та поведінки, а також місцевого законодавства ОАЕ можуть суттєво відрізнятися від інших країн, і ігнорування цих аспектів може спричинити серйозні складнощі. |
Стратегії мінімізації ризиків при купівлі діючого бізнесу в Еміратах
Мінімізація ризиків при купівлі готового бізнесу в ОАЕ вимагає комплексного підходу, що включає ретельний аналіз, стратегічне планування та професійну допомогу.
Одним із ключових аспектів є проведення ретельного Due Diligence, що означає всебічну перевірку всіх аспектів бізнесу. Це включає аналіз фінансових звітів, перевірку юридичних документів, оцінку активів і зобов'язань та вивчення репутації бізнесу. Метою Due Diligence є отримання повної та чіткої картини стану бізнесу, що допомагає виявити приховані проблеми й оцінити реальну вартість бізнесу.
Крім того, важливо враховувати місцеве законодавство та культурні особливості. Знання та дотримання місцевих законів і регулювань запобігає юридичним проблемам і зміцнює ділові відносини. Розуміння культурних особливостей допомагає в побудові відносин із місцевими партнерами, клієнтами та співробітниками.
Реалізація ефективного управління змінами також відіграє важливу роль у мінімізації ризиків. Це включає планування та поетапне впровадження змін після придбання функціонуючого бізнесу в ОАЕ, а також підтримку та навчання персоналу для забезпечення плавного переходу.
І нарешті, залучення професійних консультантів – юристів, фінансових аналітиків, бізнес-консультантів – забезпечує доступ до експертних знань і досвіду, що є критично важливим для успішної купівлі та управління бізнесом. Ці фахівці можуть дати цінні поради та допомогу в кожному аспекті угоди, від оцінки вартості бізнесу до планування майбутнього розвитку.
Дотримання цих стратегій допомагає мінімізувати ризики, пов'язані з купівлею готового бізнесу в Об'єднаних Арабських Еміратах, та сприяє створенню стійкого та прибуткового підприємства в цій країні.